-
2020MBA真题答案及解析-MBA数学解析(雄松华章文字版)
-
【雄松华章讯】雄松华章MBA官网特邀名师,第一时间抢先发布2020年管理类联考各科目真题及答案解析。考完试当天,考生以微信搜索【MBA估分】小程序,进行在线对答案,预测是否能上线!今晚6点半,华章名师直播真题解析,数学/逻辑/英语/写作全科讲解,答案更准,估分更靠谱。

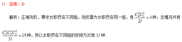
一、问题求解:第1-15 小题,每小题 3 分,共 45 分。下列每题给出的 A 、 B 、 C 、 D 、 E 五个选项中,只有一项是符合试题要求的。














































二、条件充分性判断:第16〜25小题,每小题3分,共30分。要求判断每题给出的条件(1)和条件(2)能否充分支持题干所陈述的结论。 A 、 B 、 C 、 D 、E 五个选项为判断结果,请选择一项符合试题要求的判断。
A . 条件(1)充分,但条件(2)不充分.
B . 条件(2)充分,但条件(1)不充分.
C . 条件(1)和(2)单独都不充分,但条件(1)和条件(2)联合起来充分.
D、条件(1)充分,条件(2)也充分
E、条件(1)和条件(2)单独都不充分,条件(1)和条件(2)联合起来






























推荐阅读:
1、2020MBA真题及答案解析-【MBA英语】真题及答案解析
2、2020MBA真题及答案解析-【MBA逻辑】真题及答案解析
3、2020MBA真题及答案解析-【MBA写作】真题及答案解析
-
推荐阅读您可能感兴趣的课程
含 院校名录+十年真题+面试宝典


